2024吉林高考实行3+1+2模式,它的高考计算方法也发生了一些改变,再选科目考试成绩用的的等级分转换。不少小伙伴都很好奇2024吉林新高考赋分规则是怎么算的?小编对它的计算公式及成绩对照表有关资料也做了一个简单的整理,以供大家参考。

2024吉林新高考思想政治、地理、化学、生物学4门再选科目考试成绩的等级分是如何转换的?
吉林省选择性考试再选科目每科原始分满分为100分。转换分以30分作为赋分起点,满分100分。先将每科考生的原始分从高到低划分为A、B、C、D、E共5个等级,各等级人数所占比例分别为15%、35%、35%、13%和2%。再将A至E等5个等级内的考生原始分,依照等比例转换原则,分别转换到100~86分、85~71分、70~56分、55~41分和40~30分五个分数区间,得出考生的等级转换分。
由于等级赋分原理相对复杂,第三批8省(市)和第四批的7省(区)在教育部指导下,邀请数理统计领域的专家学者,在对历年考试数据分析、演算的基础上,共同确定以上等级赋分办法。
高考成绩公布时,考生查询到的再选科目成绩是等级赋分后的成绩,不需要考生自行转换。
分数转换参数设置

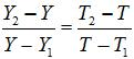
转换公式

其中:Y1、Y2分别表示某个等级所对应原始分区间的下限和上限;T1、T2分别表示相应等级的等级分区间的下限和上限;Y表示某等级内某考生的原始分;T表示相应等级内某考生的等级分。
转换步骤
第一步,将同一门再选学科考生的原始分从高到低依次排序;
第二步,按照分数转换参数表确定的等级比例,按原始分排序,依次将考生成绩划分到A、B、C、D、E共5个等级后,可得到每个等级考生原始分的分布区间;
第三步,同一等级内,根据考生的原始分、所在等级的原始分区间和转换分区间,按照分数转换公式,计算得到考生的转换分。
2024吉林新高考为什么思想政治、地理、化学、生物学科目成绩要实行等级赋分?
首选科目相同的考生,可以在思想政治、地理、化学、生物学4个科目中,根据个人兴趣特长和高校招生选考科目要求,选择2个再选科目计入高考总成绩。
由于再选科目中不同学科试题差异和选择报考相应学科的考生群体不同,因此,不同科目的原始分不具有可比性。如,考生甲选考思想政治,考生乙选考化学,两人都考了80分,考生甲排在所有选考思想政治考生的第100位,考生乙排在所有选考化学考生的第1000位。若简单将他们各科成绩相加计入高考总成绩并进行比较,既不科学也不公平。
所以需要将再选科目的原始分按照一定规则通过转换得到等级分(转换后考生选考科目成绩排序不变),以解决再选科目的原始分不具有可比性的问题。
注:以上资料仅供参考,如有变动,以官方最新消息为准。





