2024安徽新高考总分为750分,其中语文、数学、外语3门统考科目成绩均为150分(原始分);选择性考试科目满分均为100分,历史和物理科目以原始分计入总分外,其他科目,例如思想政治、地理、化学、生物学将以等级分计入总分。很多小伙伴都很好奇这个等级赋分是如何转换的?有什么规则呢?小编对此也做了一个简单的整理,具体如下。

安徽新高考等级赋分是如何转换的?
按照《安徽省高等学校招生委员会安徽省教育厅关于普通高中学业水平选择性考试成绩计入高校招生录取总成绩方式的通知》(皖招委〔2021〕10号)要求,以等级分计入高校招生录取总成绩的某一选择性考试科目的考生成绩,转换时赋分起点为30分。
具体转换步骤如下:第一步,按照每门选择性考试科目考生的原始分从高到低划定A、B、C、D、E共五个等级,各等级人数所占比例分别约为15%、35%、35%、13%和2%,将考生的原始分转换成等级。第二步,将A至E五个等级内的考生原始分,依照等比例转换方法,分别对应转换到100~86、85~71、70~56、55~41和40~30五个分数区间,得到考生的等级分。每门选择性考试科目等级分数的转换基数为实际参加该科目考试并取得有效成绩的人数。具体选择性考试科目等级分转换方法及示例如下:
一、分数转换参数设置

二、转换公式

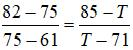
其中:Y1、Y2分别表示某个等级所对应原始分区间的下限和上限;T1、T2分别表示相应等级的等级分区间的下限和上限;Y表示某等级内某考生的原始分;T表示相应等级内某考生的等级分。
三、转换示例

假设某考生思想政治科目选择性考试科目原始分为 75 分。
第一步,将该科目选择性考试原始分从高到低进行排序,按照规定的等级比例将该考生划定为 B 等级,该科目 B 等级的原始分区间为 82~61(仅是示例,实际各科目各等级原始分区间不固定);
第二步,根据分数转换参数设置,将 B 等级内该考生原始分,依照等比例转换方法,转换到 85~71 分数区间,根据转换公式,该考生思想政治科目的等级分为:

解得,Y≈80(四舍五入取整),即该考生思想政治科目等级分为 80 分。
很多小伙伴都很好奇为什么物理和历史按原始分计入高校招生录取总成绩?而思想政治、地理、化学、生物学科目成绩要实行等级赋分?小编对有关资料也做了一个整理,以供大家参考:
为什么物理和历史按原始分计入高校招生录取总成绩?
我省方案确定,在普通类录取时选考物理科目组合和选考历史科目组合的考生将分列计划、分开录取。因此,选择物理(或历史)的考生使用同一物理(或历史)试卷,考试群体相同,成绩具有可比性,可以使用原始分计入高校招生录取总成绩。
为什么思想政治、地理、化学、生物学科目成绩要实行等级赋分?
首选科目相同的考生,可以在思想政治、地理、化学、生物学4个科目中,根据个人兴趣特长和高校招生选考科目要求,选择2个再选科目计入高考总成绩。
由于再选科目中不同学科试题差异和选择报考相应学科的考生群体不同,因此,不同科目的原始分不具有可比性。如,考生甲选考思想政治,考生乙选考化学,两人都考了80分,考生甲排在所有选考思想政治考生的第100位,考生乙排在所有选考化学考生的第1000位。若简单将他们各科成绩相加计入高考总成绩并进行比较,既不科学也不公平。
所以需要将再选科目的原始分按照一定规则通过转换得到等级分(转换后考生选考科目成绩排序不变),以解决再选科目的原始分不具有可比性的问题。
注:以上资料仅供参考,如有变动,以官方最新消息为准。





