2024年,黑龙江高考正式开始实行3+1+2模式,除了考试科目组成、时间安排发生一些改变以外,成绩计算方式和以往也有所不同。很多小伙伴都很好奇黑龙江新高考赋分是怎么算的?小编对有关资料也做了一个简单的整理,希望能给有需要的小伙伴一些参考。

黑龙江新高考赋分是怎么算的?
根据相关测量原则,将参加同一科目考试的考生原始成绩按生源一定比例进行等级划定后,再依照等比例转换法则,将考生的原始成绩转换成等级成绩,再计入高考总成绩。
等级赋分前,先统计每门再选科目实际参加考试的考生人数作为转换基数。每门再选科目等级成绩以30分作为等级转换的赋分起点,满分100分。将考生每门再选科目的原始成绩从高到低划分为A、B、C、D、E共5个等级,各等级人数所占比例分别为该科目转换基数的15%、35%、35%、13%和2%。再选科目成绩计入考生总成绩时,将A至E等级内的考生原始成绩,依照等比例转换法则,分别转换到100~86、85~71、70~56、55~41和40~30五个分数区间,根据线性转换公式计算得到考生的等级成绩,一分一档,考生等级成绩排序和原始成绩排序不变。
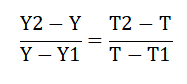
线性转换公式:

其中,Y表示原始成绩(Y1、Y2分别表示原始分区间的下限和上限);T表示转换后等级成绩(T1、T2分别表示转换分区间的下限和上限)。计算结果通过“四舍五入”取整数。
等级比例和赋分区间对应表:

黑龙江新高考为什么要赋分?
一是考生选考科目不同,导致各科之间选考人数不同;
二是由于各学科试题难易程度存在差异,各科成绩之间不具有可比性;
三是报考同一院校专业组的考生,存在再选科目的选科不同,录取时,按照同一标准录取,存在不公平的情况。例如:某院校某一个专业组再选科目的要求是不限选考科目。考生甲选考地理,考生乙选考化学,两人都考了80分,都报考了这个院校专业组,而考生甲排在所有选考地理考生的第100位,考生乙排在所有选考化学考生的第1000位。如果简单将他们各科成绩相加,计入考生总成绩进行比较,在录取时,选考化学的考生会占有一定优势,可见,这样做既不科学也不公平。
综上所述,再选科目各科的原始成绩不具有可比性,不能简单地将选考科目的原始成绩直接计入高考总成绩。而采用等级赋分的办法,既实现了不同学科之间转换后的成绩具有可比性,也有效保障了高考的科学性和公平性。
考生是否可以查询各科原始成绩?
高考成绩公布时,我省仅向考生公布总成绩及各科最终成绩,其中,语文、数学、外语、历史和物理5门科目为原始成绩,思想政治、地理、化学和生物学4门科目的原始成绩是成绩转换环节的过程性信息,不对考生公布,只公布等级转换后的等级成绩。
注:以上资料仅供参考,具体以实际情况为准。





